Официальное опубликование правовых актов
ОФИЦИАЛЬНОЕ ОПУБЛИКОВАНИЕ
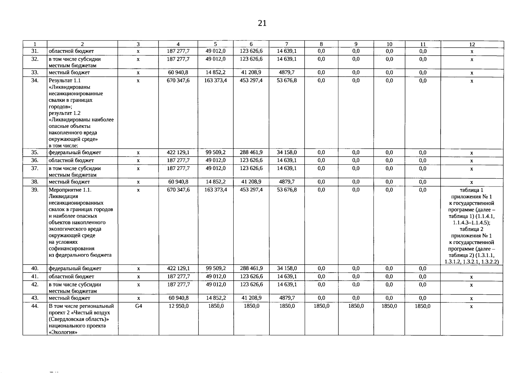
Постановление Правительства Свердловской области от 24.08.2023 № 611-ПП
"О внесении изменений в государственную программу Свердловской области "Обеспечение рационального, безопасного природопользования и развития лесного хозяйства на территории Свердловской области до 2027 года", утвержденную постановлением Правительства Свердловской области от 20.06.2019 № 375-ПП"
Номер опубликования: 6600202308250002
Дата опубликования: 25.08.2023
Страница №21 из 33:
Увеличить