Официальное опубликование правовых актов
ОФИЦИАЛЬНОЕ ОПУБЛИКОВАНИЕ
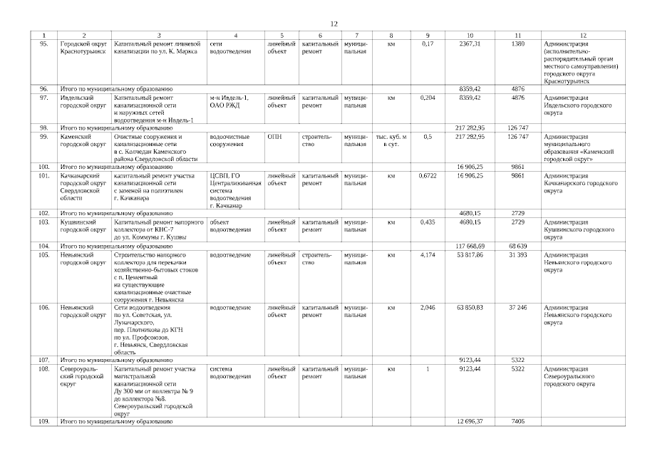
Постановление Правительства Свердловской области от 20.07.2023 № 510-ПП
"О внесении изменений в региональную программу по модернизации систем коммунальной инфраструктуры Свердловской области на 2023–2027 годы, утвержденную постановлением Правительства Свердловской области от 30.03.2023 № 209-ПП"
Номер опубликования: 6600202307210007
Дата опубликования: 21.07.2023
Страница №12 из 67:
Увеличить