Официальное опубликование правовых актов
ОФИЦИАЛЬНОЕ ОПУБЛИКОВАНИЕ
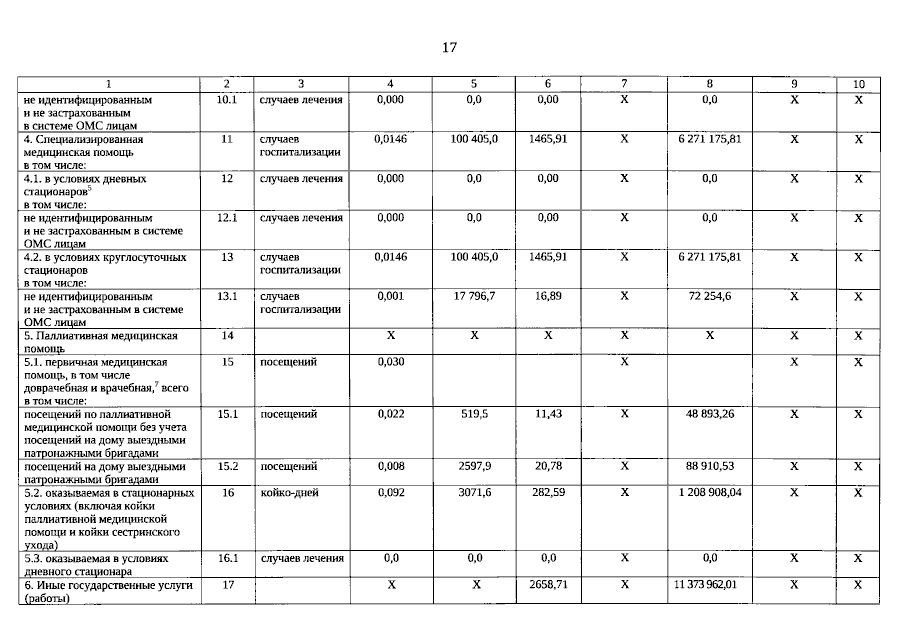
Постановление Правительства Свердловской области от 29.06.2023 № 460-ПП
"О внесении изменений в Территориальную программу государственных гарантий бесплатного оказания гражданам медицинской помощи в Свердловской области на 2023 год и на плановый период 2024 и 2025 годов, утвержденную постановлением Правительства Свердловской области от 27.12.2022 № 975-ПП"
Номер опубликования: 6600202306300001
Дата опубликования: 30.06.2023
Страница №17 из 98:
Увеличить