Официальное опубликование правовых актов
ОФИЦИАЛЬНОЕ ОПУБЛИКОВАНИЕ
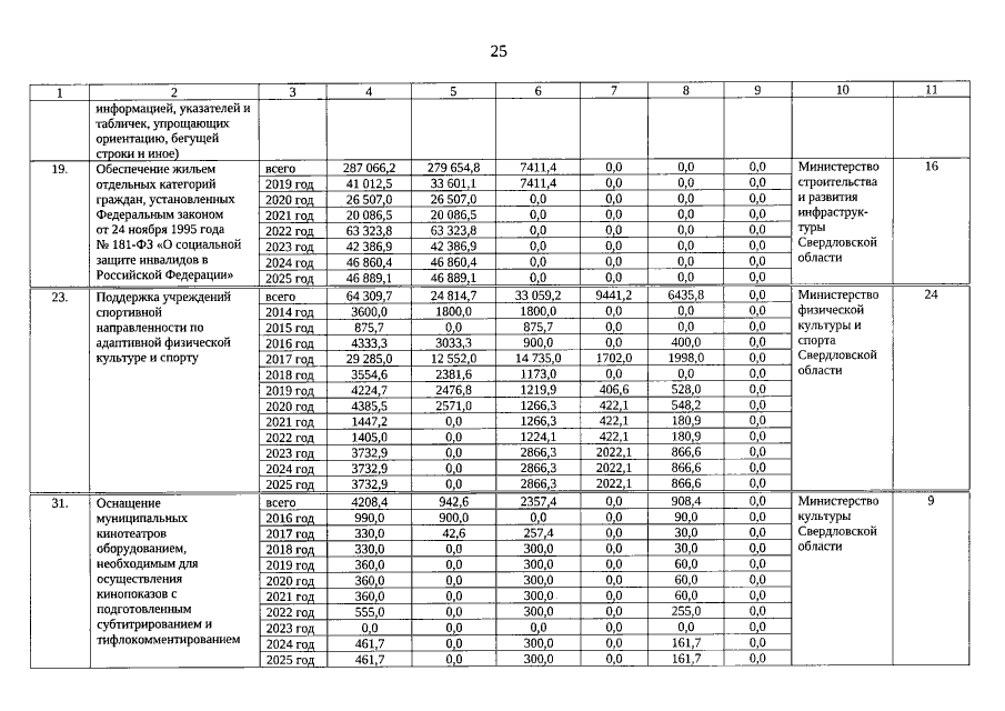
Постановление Правительства Свердловской области от 28.04.2023 № 298-ПП
"О внесении изменений в комплексную программу Свердловской области "Доступная среда", утвержденную постановлением Правительства Свердловской области от 22.01.2014 № 23-ПП"
Номер опубликования: 6600202305040002
Дата опубликования: 04.05.2023
Страница №25 из 57:
Увеличить