Официальное опубликование правовых актов
ОФИЦИАЛЬНОЕ ОПУБЛИКОВАНИЕ
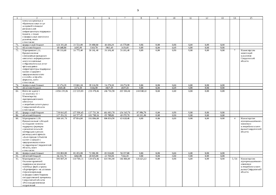
Постановление Правительства Свердловской области от 14.04.2023 № 270-ПП
"О внесении изменений в комплексную программу Свердловской области "Снижение уровня бедности в Свердловской области на период до 2030 года", утвержденную постановлением Правительства Свердловской области от 22.07.2021 № 448-ПП"
Номер опубликования: 6600202304180017
Дата опубликования: 18.04.2023
Страница №9 из 26:
Увеличить