Официальное опубликование правовых актов
ОФИЦИАЛЬНОЕ ОПУБЛИКОВАНИЕ
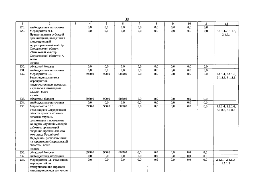
Постановление Правительства Свердловской области от 09.03.2023 № 153-ПП
"О внесении изменений в государственную программу Свердловской области "Развитие промышленности и науки на территории Свердловской области до 2027 года", утвержденную постановлением Правительства Свердловской области от 24.10.2013 № 1293-ПП"
Номер опубликования: 6600202303100006
Дата опубликования: 10.03.2023
Страница №39 из 59:
Увеличить