Официальное опубликование правовых актов
ОФИЦИАЛЬНОЕ ОПУБЛИКОВАНИЕ
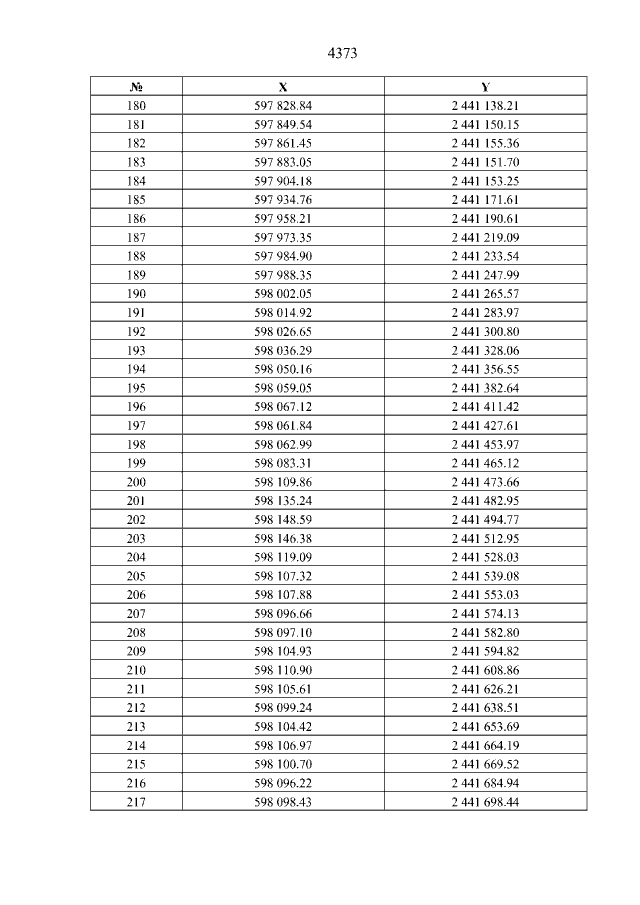
Закон Свердловской области от 27.02.2023 № 17-ОЗ
"О внесении изменений в Закон Свердловской области "О границах муниципальных образований, расположенных на территории Свердловской области"
Номер опубликования: 6600202303010001
Дата опубликования: 01.03.2023
Страница №4373 из 4450:
Увеличить