Официальное опубликование правовых актов
ОФИЦИАЛЬНОЕ ОПУБЛИКОВАНИЕ
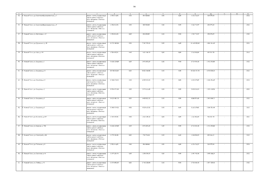
Постановление Правительства Свердловской области от 27.12.2022 № 946-ПП
"О внесении изменений в Краткосрочный план реализации Региональной программы капитального ремонта общего имущества в многоквартирных домах Свердловской области на 2021–2023 годы на территории Свердловской области, утвержденный постановлением Правительства Свердловской области от 03.09.2020 № 607-ПП"
Номер опубликования: 6600202212290017
Дата опубликования: 29.12.2022
Страница №94 из 103: