Официальное опубликование правовых актов
ОФИЦИАЛЬНОЕ ОПУБЛИКОВАНИЕ
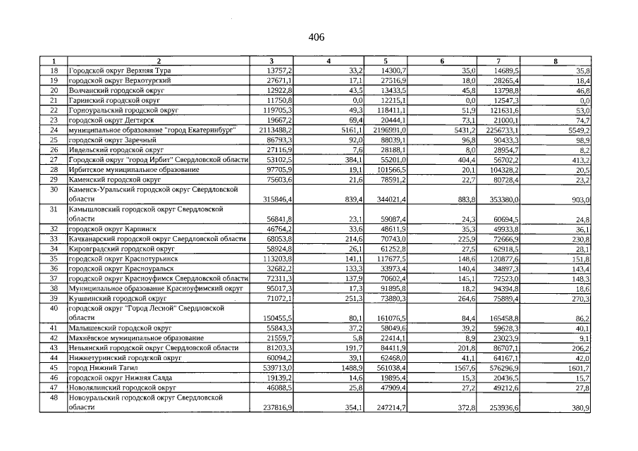
Закон Свердловской области от 20.12.2022 № 148-ОЗ
"О внесении изменений в Закон Свердловской области "Об областном бюджете на 2022 год и плановый период 2023 и 2024 годов"
Номер опубликования: 6600202212220001
Дата опубликования: 22.12.2022
Страница №406 из 422:
Увеличить