Официальное опубликование правовых актов
ОФИЦИАЛЬНОЕ ОПУБЛИКОВАНИЕ
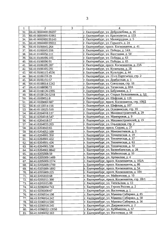
Постановление Правительства Свердловской области от 15.12.2022 № 877-ПП
"Об определении перечня объектов недвижимого имущества, в отношении которых налоговая база по налогу на имущество организаций определяется как кадастровая стоимость, на 2023 год"
Номер опубликования: 6600202212200018
Дата опубликования: 20.12.2022
Страница №3 из 9:
Увеличить