Официальное опубликование правовых актов
ОФИЦИАЛЬНОЕ ОПУБЛИКОВАНИЕ
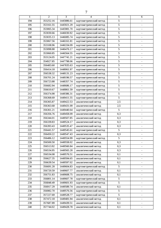
Указ Губернатора Свердловской области от 30.11.2022 № 620-УГ
"Об охранной зоне природного парка "Оленьи ручьи"
Номер опубликования: 6600202212050002
Дата опубликования: 05.12.2022
Страница №7 из 29:
Увеличить