Официальное опубликование правовых актов
ОФИЦИАЛЬНОЕ ОПУБЛИКОВАНИЕ
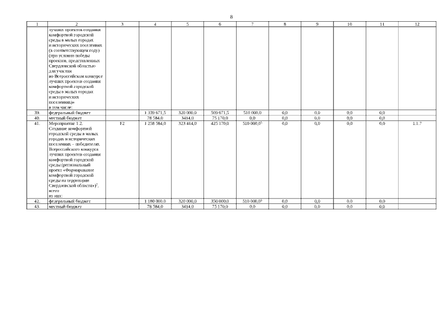
Постановление Правительства Свердловской области от 20.10.2022 № 681-ПП
"О внесении изменений в государственную программу Свердловской области "Формирование современной городской среды на территории Свердловской области на 2018–2027 годы", утвержденную постановлением Правительства Свердловской области от 31.10.2017 № 805-ПП"
Номер опубликования: 6600202210250011
Дата опубликования: 25.10.2022
Страница №8 из 10:
Увеличить