Официальное опубликование правовых актов
ОФИЦИАЛЬНОЕ ОПУБЛИКОВАНИЕ
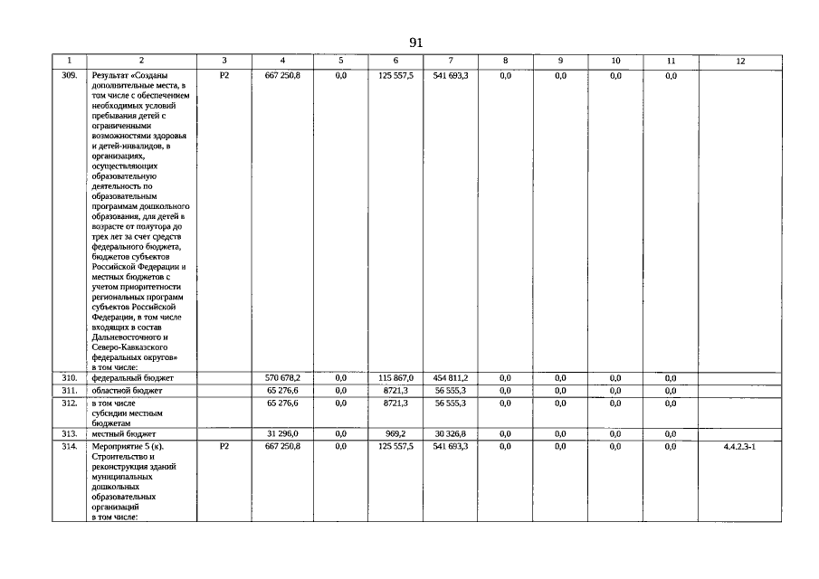
Постановление Правительства Свердловской области от 06.10.2022 № 668-ПП
"О внесении изменений в постановление Правительства Свердловской области от 24.10.2013 № 1296-ПП "Об утверждении государственной программы Свердловской области "Реализация основных направлений государственной политики в строительном комплексе Свердловской области до 2024 года"
Номер опубликования: 6600202210120015
Дата опубликования: 12.10.2022
Страница №91 из 111:
Увеличить