Официальное опубликование правовых актов
ОФИЦИАЛЬНОЕ ОПУБЛИКОВАНИЕ
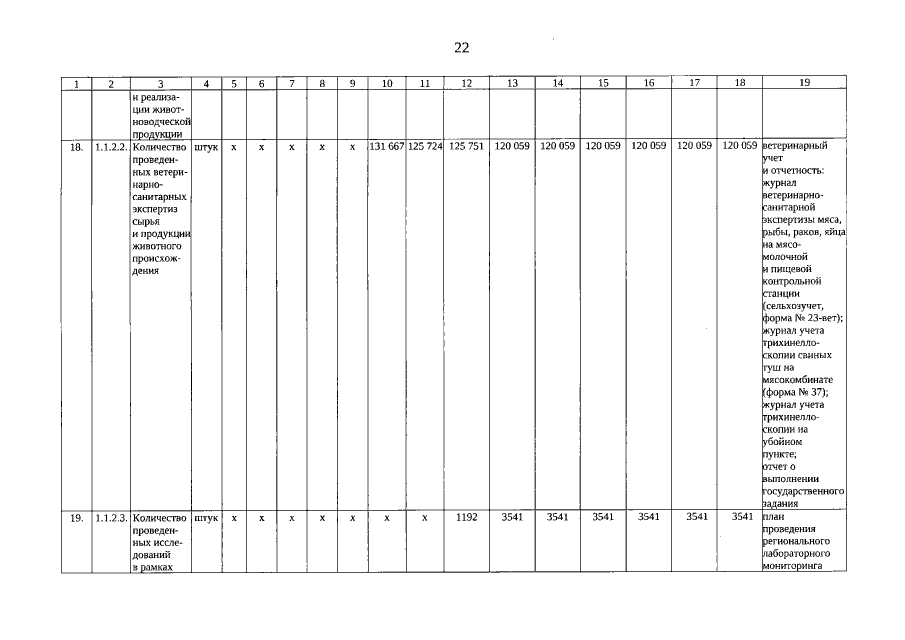
Постановление Правительства Свердловской области от 27.09.2022 № 643-ПП
"О внесении изменений в постановление Правительства Свердловской области от 24.10.2013 № 1299-ПП "Об утверждении государственной программы Свердловской области "Обеспечение эпизоотического и ветеринарно-санитарного благополучия Свердловской области до 2024 года"
Номер опубликования: 6600202209300008
Дата опубликования: 30.09.2022
Страница №22 из 64:
Увеличить