Официальное опубликование правовых актов
ОФИЦИАЛЬНОЕ ОПУБЛИКОВАНИЕ
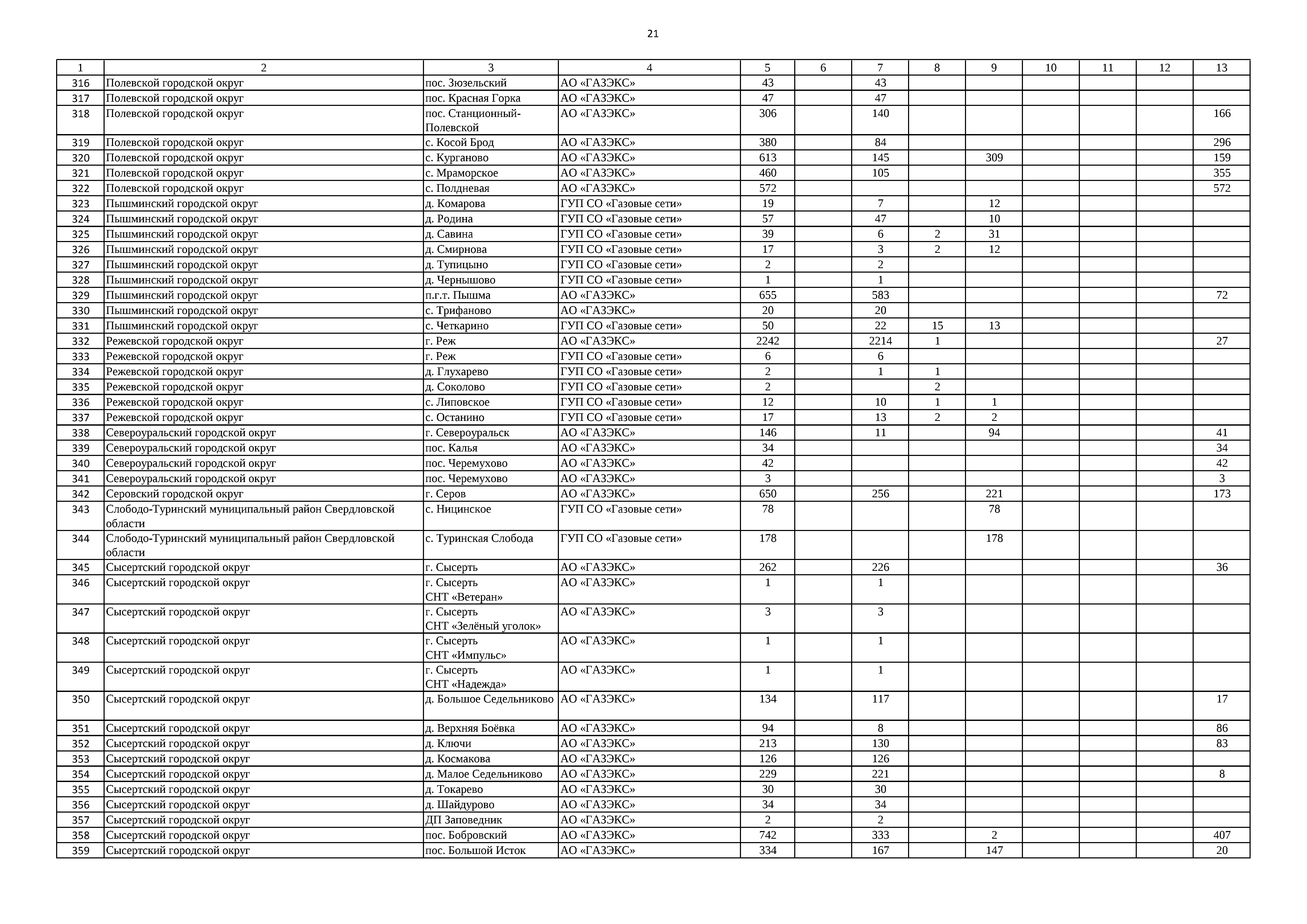
Указ Губернатора Свердловской области от 22.09.2022 № 461-УГ
"О внесении изменений в региональную программу газификации жилищно-коммунального хозяйства, промышленных и иных организаций Свердловской области на 2021–2030 годы, утвержденную Указом Губернатора Свердловской области от 29.12.2021 № 775-УГ"
Номер опубликования: 6600202209280014
Дата опубликования: 28.09.2022
Страница №21 из 3548: