Официальное опубликование правовых актов
ОФИЦИАЛЬНОЕ ОПУБЛИКОВАНИЕ
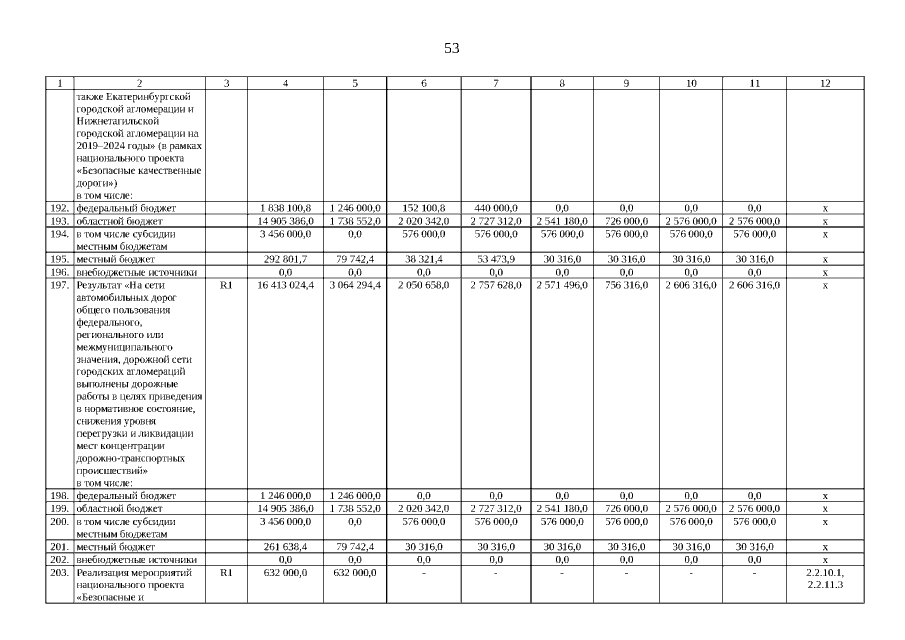
Постановление Правительства Свердловской области от 11.08.2022 № 551-ПП
"О внесении изменений в постановление Правительства Свердловской области от 25.01.2018 № 28-ПП "Об утверждении государственной программы Свердловской области "Развитие транспортного комплекса Свердловской области до 2024 года"
Номер опубликования: 6600202208150002
Дата опубликования: 15.08.2022
Страница №53 из 182:
Увеличить