Официальное опубликование правовых актов
ОФИЦИАЛЬНОЕ ОПУБЛИКОВАНИЕ
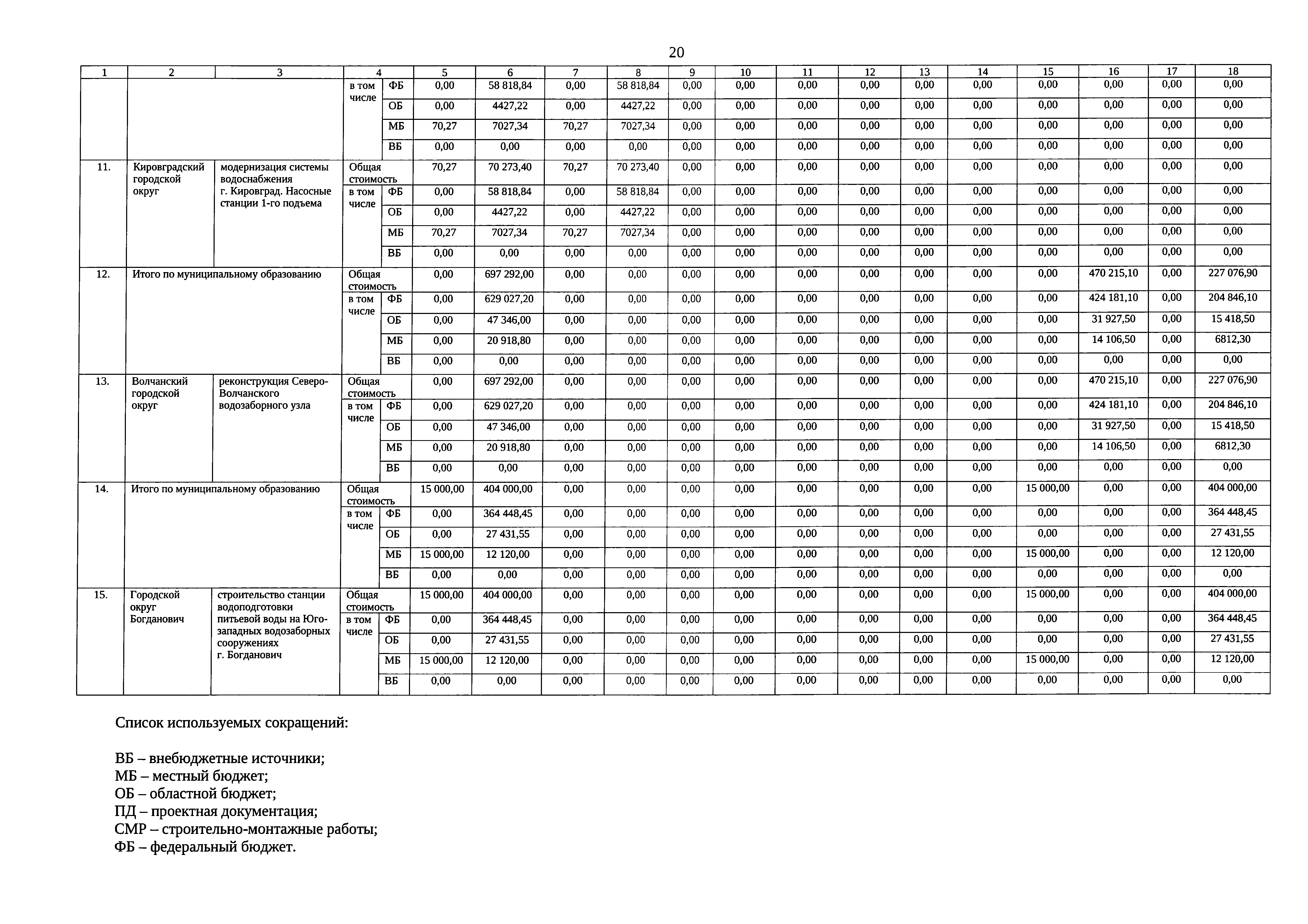
Постановление Правительства Свердловской области от 21.07.2022 № 476-ПП
"О внесении изменений в государственную программу Свердловской области "Развитие жилищно-коммунального хозяйства и повышение энергетической эффективности в Свердловской области до 2024 года", утвержденную постановлением Правительства Свердловской области от 29.10.2013 № 1330-ПП"
Номер опубликования: 6600202207250009
Дата опубликования: 25.07.2022
Страница №20 из 28: