Официальное опубликование правовых актов
ОФИЦИАЛЬНОЕ ОПУБЛИКОВАНИЕ
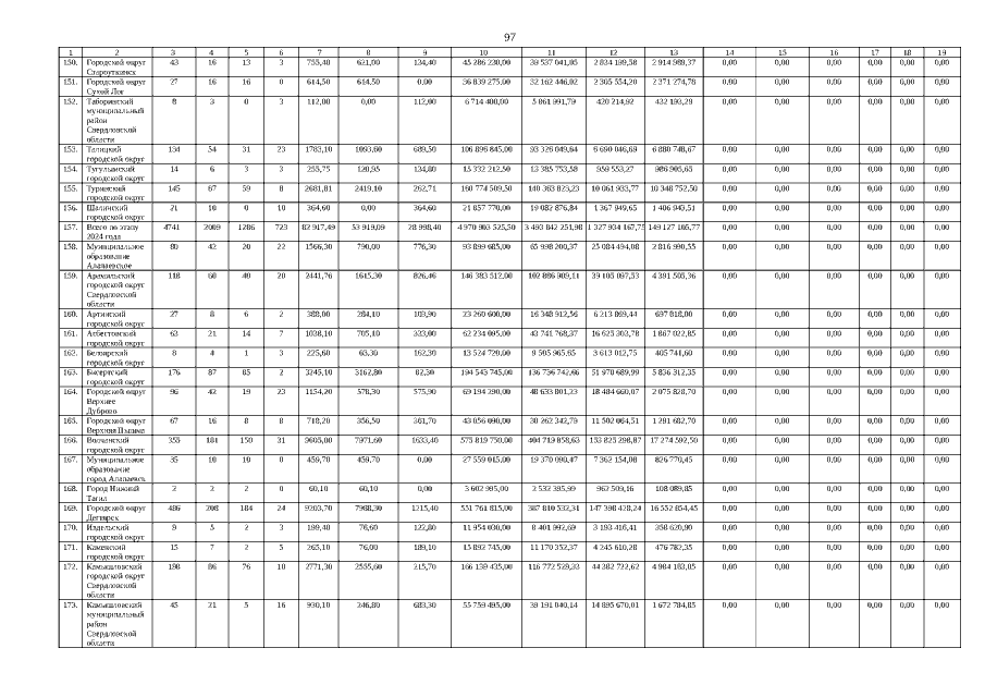
Постановление Правительства Свердловской области от 27.01.2022 № 58-ПП
"О внесении изменений в региональную адресную программу "Переселение граждан на территории Свердловской области из аварийного жилищного фонда в 2019–2025 годах", утвержденную постановлением Правительства Свердловской области от 01.04.2019 № 208-ПП"
Номер опубликования: 6600202201280001
Дата опубликования: 28.01.2022
Страница №97 из 104:
Увеличить