Официальное опубликование правовых актов
ОФИЦИАЛЬНОЕ ОПУБЛИКОВАНИЕ
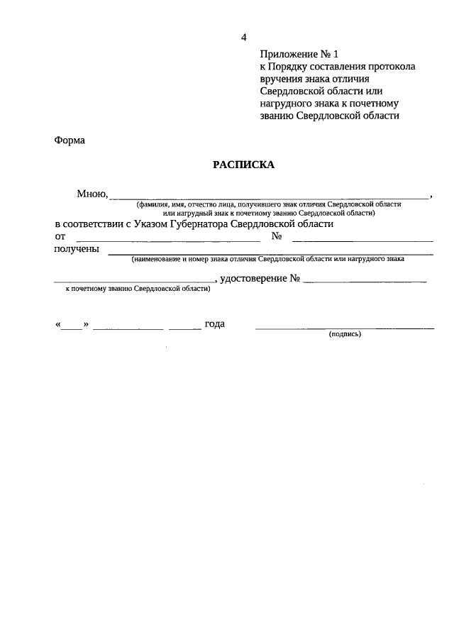
Указ Губернатора Свердловской области от 30.12.2021 № 780-УГ
"Об утверждении порядка составления и формы протокола вручения знака отличия Свердловской области или нагрудного знака к почетному званию Свердловской области"
Номер опубликования: 6600202112310001
Дата опубликования: 31.12.2021
Страница №4 из 6:
Увеличить