Официальное опубликование правовых актов
ОФИЦИАЛЬНОЕ ОПУБЛИКОВАНИЕ
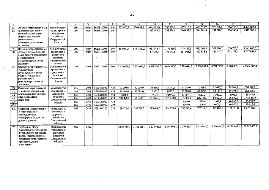
Постановление Правительства Свердловской области от 19.11.2021 № 791-ПП
"О внесении изменений в государственную программу Свердловской области "Развитие транспортного комплекса Свердловской области до 2024 года", утвержденную постановлением Правительства Свердловской области от 25.01.2018 № 28-ПП"
Номер опубликования: 6600202111230029
Дата опубликования: 23.11.2021
Страница №23 из 39:
Увеличить