Официальное опубликование правовых актов
ОФИЦИАЛЬНОЕ ОПУБЛИКОВАНИЕ
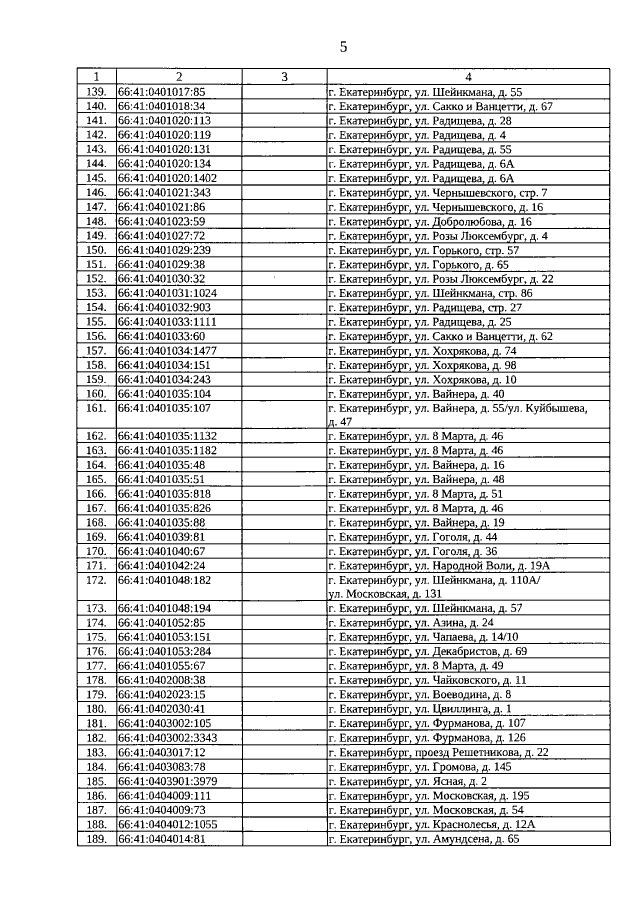
Постановление Правительства Свердловской области от 11.11.2021 № 764-ПП
"Об определении перечня объектов недвижимого имущества, в отношении которых налоговая база по налогу на имущество организаций определяется как кадастровая стоимость, на 2022 год"
Номер опубликования: 6600202111160030
Дата опубликования: 16.11.2021
Страница №5 из 9:
Увеличить