Официальное опубликование правовых актов
ОФИЦИАЛЬНОЕ ОПУБЛИКОВАНИЕ
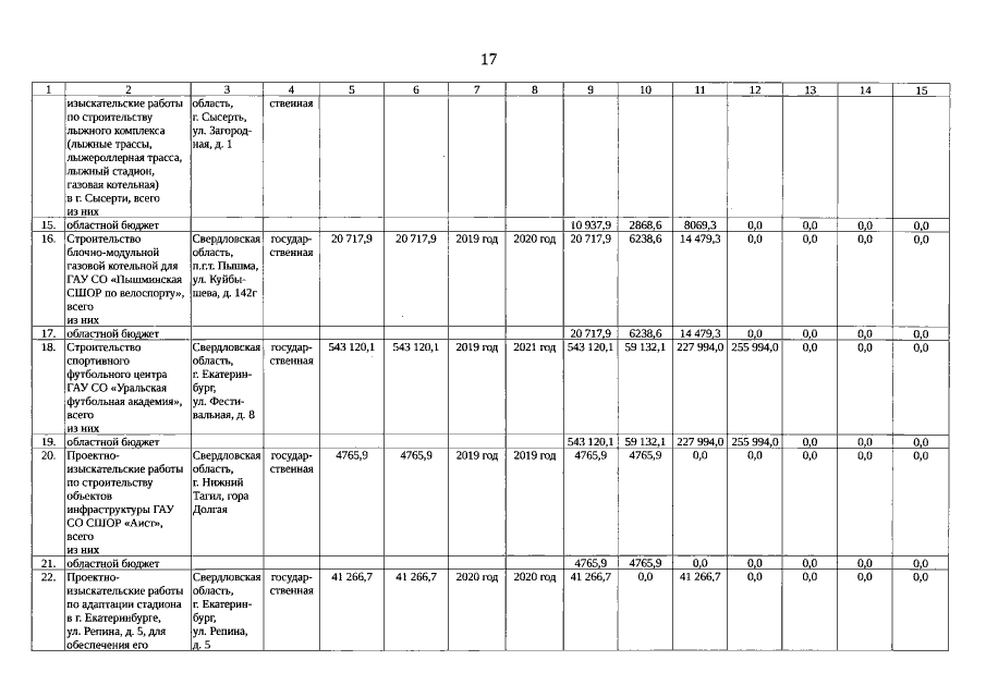
Постановление Правительства Свердловской области от 12.08.2021 № 506-ПП
"О внесении изменений в государственную программу Свердловской области "Развитие физической культуры и спорта в Свердловской области до 2024 года", утвержденную постановлением Правительства Свердловской области от 29.10.2013 № 1332-ПП"
Номер опубликования: 6600202108160002
Дата опубликования: 16.08.2021
Страница №17 из 19:
Увеличить