Официальное опубликование правовых актов
ОФИЦИАЛЬНОЕ ОПУБЛИКОВАНИЕ
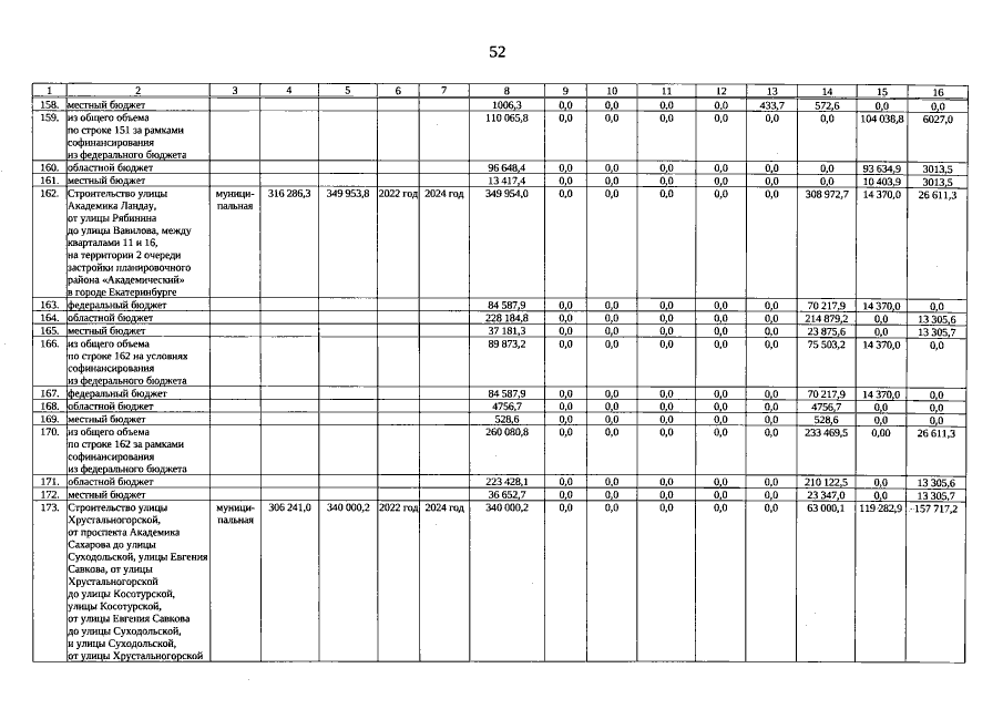
Постановление Правительства Свердловской области от 16.07.2021 № 416-ПП
"О внесении изменений в государственную программу Свердловской области "Реализация основных направлений государственной политики в строительном комплексе Свердловской области до 2024 года", утвержденную постановлением Правительства Свердловской области от 24.10.2013 № 1296-ПП"
Номер опубликования: 6600202107210018
Дата опубликования: 21.07.2021
Страница №52 из 71:
Увеличить