Официальное опубликование правовых актов
ОФИЦИАЛЬНОЕ ОПУБЛИКОВАНИЕ
Постановление Правительства Свердловской области от 16.07.2021 № 418-ПП
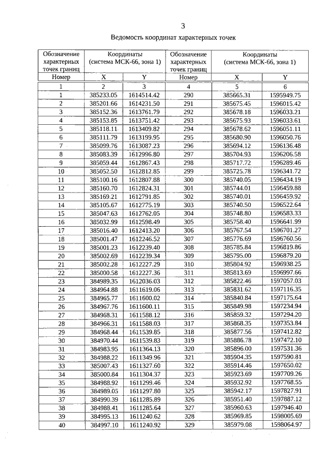
"Об изменении границ государственного зоологического охотничьего заказника областного значения "Богдановичский им. А.А. Киселева" и внесении изменений в постановление Правительства Свердловской области от 27.03.2007 № 254-ПП "Об утверждении положений о государственных зоологических охотничьих заказниках Свердловской области"
Номер опубликования: 6600202107210016
Дата опубликования: 21.07.2021
Страница №3 из 12:
Увеличить