Официальное опубликование правовых актов
ОФИЦИАЛЬНОЕ ОПУБЛИКОВАНИЕ
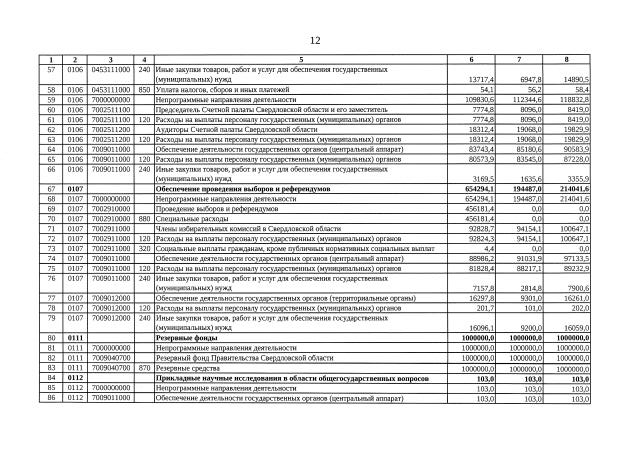
Закон Свердловской области от 17.06.2021 № 44-ОЗ
"О внесении изменений в Закон Свердловской области "Об областном бюджете на 2021 год и плановый период 2022 и 2023 годов"
Номер опубликования: 6600202106230008
Дата опубликования: 23.06.2021
Страница №12 из 352:
Увеличить