Официальное опубликование правовых актов
ОФИЦИАЛЬНОЕ ОПУБЛИКОВАНИЕ
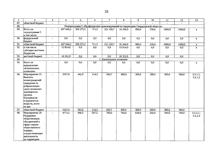
Постановление Правительства Свердловской области от 18.03.2021 № 141-ПП
"О внесении изменений в государственную программу Свердловской области "Обеспечение общественной безопасности на территории Свердловской области до 2024 года", утвержденную постановлением Правительства Свердловской области от 05.04.2017 № 229-ПП"
Номер опубликования: 6600202103240012
Дата опубликования: 24.03.2021
Страница №33 из 37:
Увеличить