Официальное опубликование правовых актов
ОФИЦИАЛЬНОЕ ОПУБЛИКОВАНИЕ
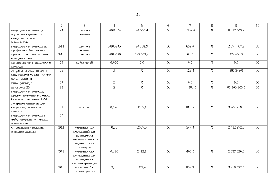
Постановление Правительства Свердловской области от 30.12.2020 № 1018-ПП
"О Территориальной программе государственных гарантий бесплатного оказания гражданам медицинской помощи в Свердловской области на 2021 год и на плановый период 2022 и 2023 годов"
Номер опубликования: 6600202012310030
Дата опубликования: 31.12.2020
Страница №42 из 153:
Увеличить