Официальное опубликование правовых актов
ОФИЦИАЛЬНОЕ ОПУБЛИКОВАНИЕ
Постановление Правительства Свердловской области от 24.12.2020 № 986-ПП
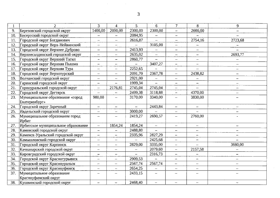
"О внесении изменений в постановление Правительства Свердловской области от 04.03.2016 № 150-ПП "Об установлении максимального и среднего размера платы, взимаемой с родителей (законных представителей) за присмотр и уход за детьми в государственных образовательных организациях Свердловской области и муниципальных образовательных организациях, реализующих образовательную программу дошкольного образования"
Номер опубликования: 6600202012280041
Дата опубликования: 28.12.2020
Страница №3 из 5:
Увеличить