Официальное опубликование правовых актов
ОФИЦИАЛЬНОЕ ОПУБЛИКОВАНИЕ
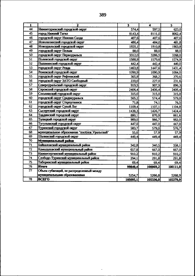
Закон Свердловской области от 10.12.2020 № 144-ОЗ
"Об областном бюджете на 2021 год и плановый период 2022 и 2023 годов"
Номер опубликования: 6600202012160001
Дата опубликования: 16.12.2020
Страница №389 из 403:
Увеличить