Официальное опубликование правовых актов
ОФИЦИАЛЬНОЕ ОПУБЛИКОВАНИЕ
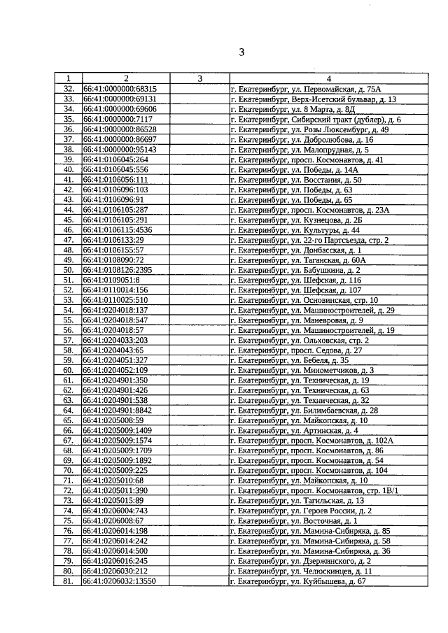
Постановление Правительства Свердловской области от 10.12.2020 № 917-ПП
"Об определении перечня объектов недвижимого имущества, в отношении которых налоговая база по налогу на имущество организаций определяется как кадастровая стоимость, на 2021 год"
Номер опубликования: 6600202012150027
Дата опубликования: 15.12.2020
Страница №3 из 9:
Увеличить