Официальное опубликование правовых актов
ОФИЦИАЛЬНОЕ ОПУБЛИКОВАНИЕ
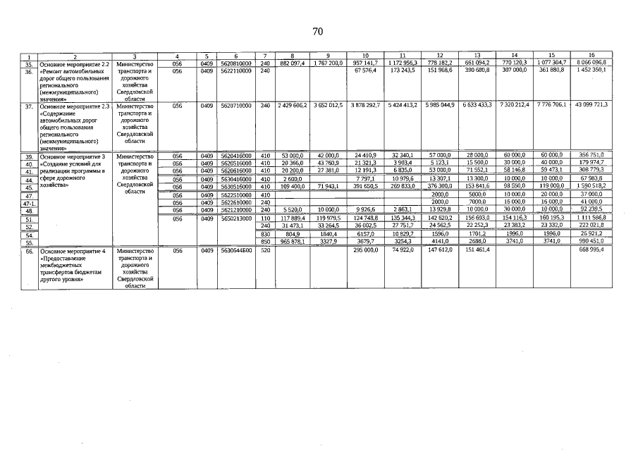
Постановление Правительства Свердловской области от 03.12.2020 № 883-ПП
"О внесении изменений в государственную программу Свердловской области "Развитие транспортного комплекса Свердловской области до 2024 года", утвержденную постановлением Правительства Свердловской области от 25.01.2018 № 28-ПП"
Номер опубликования: 6600202012090011
Дата опубликования: 09.12.2020
Страница №70 из 70:
Увеличить