Официальное опубликование правовых актов
ОФИЦИАЛЬНОЕ ОПУБЛИКОВАНИЕ
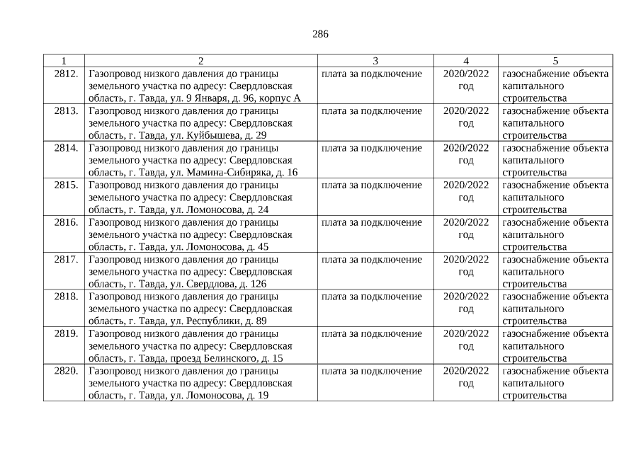
Указ Губернатора Свердловской области от 30.11.2020 № 649-УГ
"О внесении изменений в региональную программу газификации жилищно-коммунального хозяйства, промышленных и иных организаций Свердловской области на 2019–2023 годы, утвержденную Указом Губернатора Свердловской области от 29.11.2019 № 617-УГ"
Номер опубликования: 6600202012040002
Дата опубликования: 04.12.2020
Страница №286 из 302:
Увеличить