Официальное опубликование правовых актов
ОФИЦИАЛЬНОЕ ОПУБЛИКОВАНИЕ
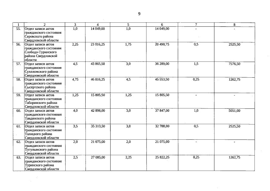
Постановление Правительства Свердловской области от 27.11.2020 № 863-ПП
"О внесении изменений в предельный лимит штатной численности и фонд по должностным окладам в месяц Управления записи актов гражданского состояния Свердловской области и отделов записи актов гражданского состояния в городах и районах Свердловской области, утвержденные постановлением Правительства Свердловской области от 21.12.2005 № 1102-ПП"
Номер опубликования: 6600202012010007
Дата опубликования: 01.12.2020
Страница №9 из 10:
Увеличить