Официальное опубликование правовых актов
ОФИЦИАЛЬНОЕ ОПУБЛИКОВАНИЕ
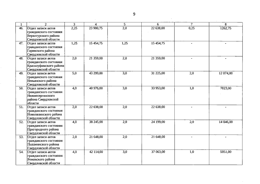
Постановление Правительства Свердловской области от 01.10.2020 № 678-ПП
"О внесении изменений в предельный лимит штатной численности и фонд по должностным окладам в месяц Управления записи актов гражданского состояния Свердловской области и отделов записи актов гражданского состояния в городах и районах Свердловской области, утвержденные постановлением Правительства Свердловской области от 21.12.2005 № 1102-ПП"
Номер опубликования: 6600202010070006
Дата опубликования: 07.10.2020
Страница №9 из 11:
Увеличить