Официальное опубликование правовых актов
ОФИЦИАЛЬНОЕ ОПУБЛИКОВАНИЕ
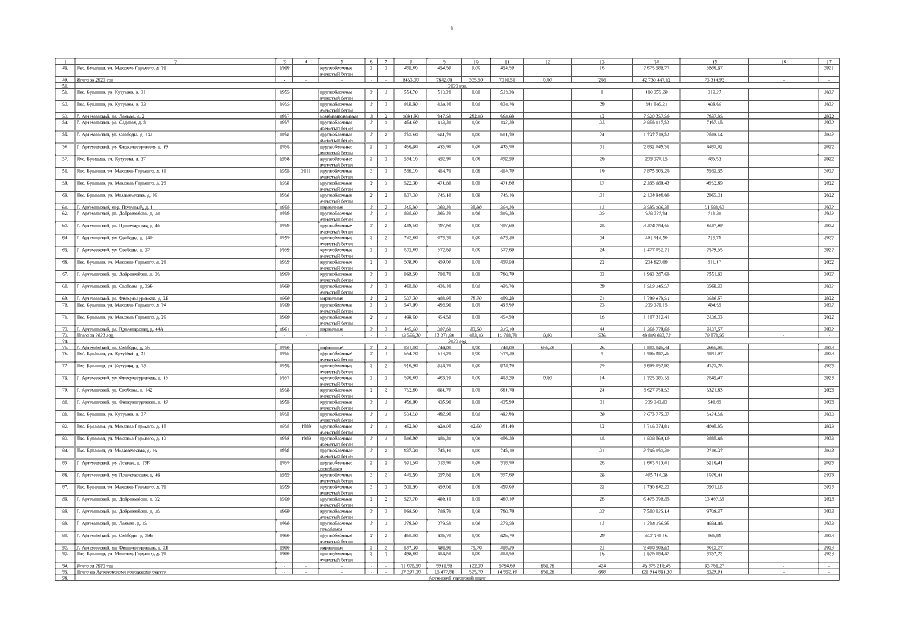
Постановление Правительства Свердловской области от 03.09.2020 № 607-ПП
"Об утверждении Краткосрочного плана реализации Региональной программы капитального ремонта общего имущества в многоквартирных домах Свердловской области на 2021–2023 годы на территории Свердловской области"
Номер опубликования: 6600202009080009
Дата опубликования: 08.09.2020
Страница №8 из 111:
Увеличить