Официальное опубликование правовых актов
ОФИЦИАЛЬНОЕ ОПУБЛИКОВАНИЕ
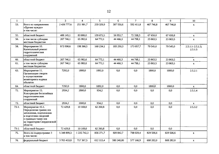
Постановление Правительства Свердловской области от 03.09.2020 № 613-ПП
"О внесении изменений в государственную программу Свердловской области "Обеспечение рационального, безопасного природопользования и развития лесного хозяйства на территории Свердловской области до 2024 года", утвержденную постановлением Правительства Свердловской области от 20.06.2019 № 375-ПП"
Номер опубликования: 6600202009080006
Дата опубликования: 08.09.2020
Страница №12 из 47:
Увеличить