Официальное опубликование правовых актов
ОФИЦИАЛЬНОЕ ОПУБЛИКОВАНИЕ
Постановление Правительства Свердловской области от 27.08.2020 № 593-ПП
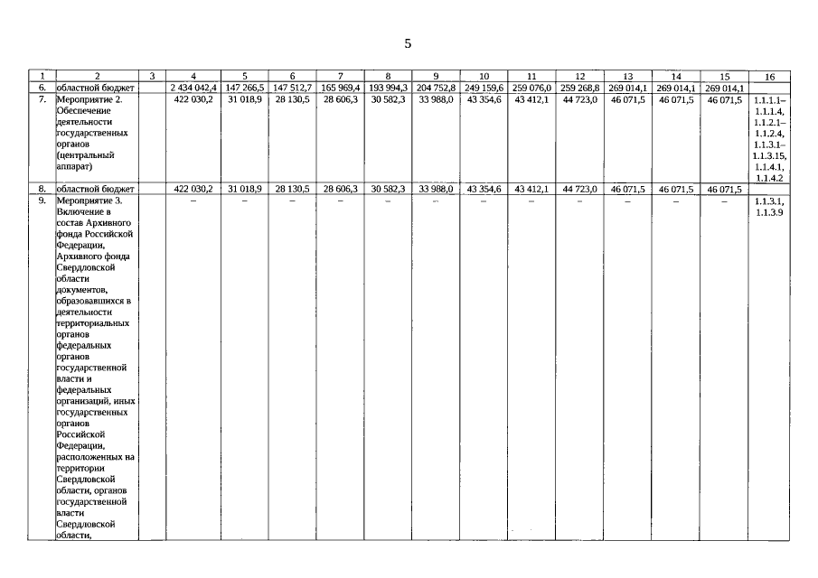
"О внесении изменений в постановление Правительства Свердловской области от 21.10.2013 № 1277-ПП "Об утверждении государственной программы Свердловской области "Обеспечение деятельности по комплектованию, учету, хранению и использованию архивных документов, находящихся в государственной собственности Свердловской области, до 2024 года"
Номер опубликования: 6600202009010005
Дата опубликования: 01.09.2020
Страница №5 из 9:
Увеличить