Официальное опубликование правовых актов
ОФИЦИАЛЬНОЕ ОПУБЛИКОВАНИЕ
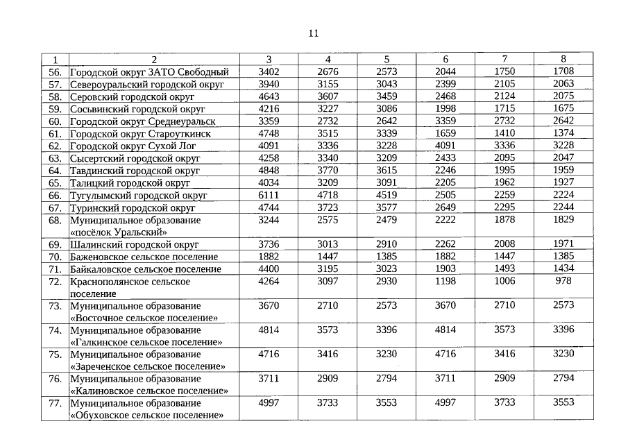
Постановление Правительства Свердловской области от 20.08.2020 № 555-ПП
"Об областном стандарте стоимости жилищно-коммунальных услуг на 2020 год"
Номер опубликования: 6600202008250014
Дата опубликования: 25.08.2020
Страница №11 из 17:
Увеличить