Официальное опубликование правовых актов
ОФИЦИАЛЬНОЕ ОПУБЛИКОВАНИЕ
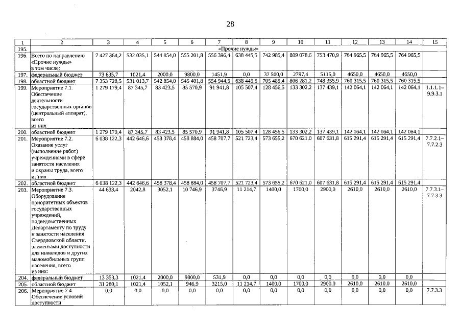
Постановление Правительства Свердловской области от 06.08.2020 № 531-ПП
"О внесении изменений в государственную программу Свердловской области "Содействие занятости населения Свердловской области до 2024 года", утвержденную постановлением Правительства Свердловской области от 21.10.2013 № 1272-ПП"
Номер опубликования: 6600202008070013
Дата опубликования: 07.08.2020
Страница №28 из 40:
Увеличить