Официальное опубликование правовых актов
ОФИЦИАЛЬНОЕ ОПУБЛИКОВАНИЕ
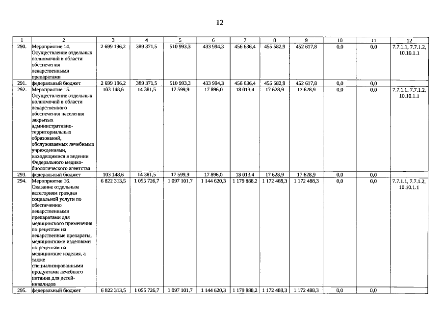
Постановление Правительства Свердловской области от 23.07.2020 № 504-ПП
"О внесении изменений в государственную программу Свердловской области "Развитие здравоохранения Свердловской области до 2024 года", утвержденную постановлением Правительства Свердловской области от 21.10.2013 № 1267-ПП"
Номер опубликования: 6600202007280007
Дата опубликования: 28.07.2020
Страница №12 из 15:
Увеличить