Официальное опубликование правовых актов
ОФИЦИАЛЬНОЕ ОПУБЛИКОВАНИЕ
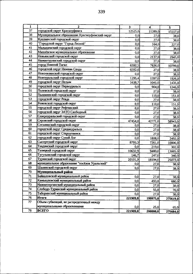
Закон Свердловской области от 21.04.2020 № 38-ОЗ
"О внесении изменений в Закон Свердловской области "Об областном бюджете на 2020 год и плановый период 2021 и 2022 годов"
Номер опубликования: 6600202005080003
Дата опубликования: 08.05.2020
Страница №339 из 339:
Увеличить