Официальное опубликование правовых актов
ОФИЦИАЛЬНОЕ ОПУБЛИКОВАНИЕ
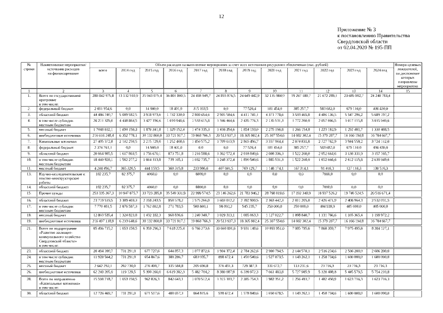
Постановление Правительства Свердловской области от 02.04.2020 № 195-ПП
"О внесении изменений в государственную программу Свердловской области "Развитие жилищно-коммунального хозяйства и повышение энергетической эффективности в Свердловской области до 2024 года", утвержденную постановлением Правительства Свердловской области от 29.10.2013 № 1330-ПП"
Номер опубликования: 6600202004070025
Дата опубликования: 07.04.2020
Страница №12 из 45:
Увеличить