Официальное опубликование правовых актов
ОФИЦИАЛЬНОЕ ОПУБЛИКОВАНИЕ
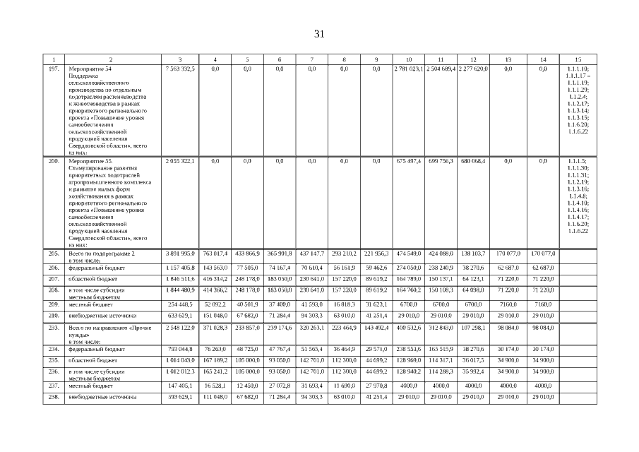
Постановление Правительства Свердловской области от 02.04.2020 № 193-ПП
"О внесении изменений в государственную программу Свердловской области "Развитие агропромышленного комплекса и потребительского рынка Свердловской области до 2024 года", утвержденную постановлением Правительства Свердловской области от 23.10.2013 № 1285-ПП"
Номер опубликования: 6600202004070021
Дата опубликования: 07.04.2020
Страница №31 из 33:
Увеличить