Официальное опубликование правовых актов
ОФИЦИАЛЬНОЕ ОПУБЛИКОВАНИЕ
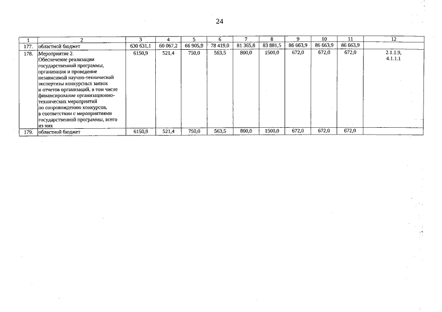
Постановление Правительства Свердловской области от 26.03.2020 № 171-ПП
"О внесении изменений в государственную программу Свердловской области "Развитие промышленности и науки на территории Свердловской области до 2024 года", утвержденную постановлением Правительства Свердловской области от 24.10.2013 № 1293-ПП"
Номер опубликования: 6600202003300019
Дата опубликования: 30.03.2020
Страница №24 из 38:
Увеличить