Официальное опубликование правовых актов
ОФИЦИАЛЬНОЕ ОПУБЛИКОВАНИЕ
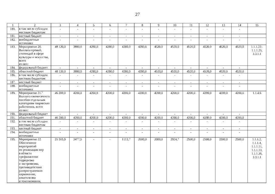
Постановление Правительства Свердловской области от 19.03.2020 № 157-ПП
"О внесении изменений в государственную программу Свердловской области "Развитие культуры в Свердловской области до 2024 года", утвержденную постановлением Правительства Свердловской области от 21.10.2013 № 1268-ПП"
Номер опубликования: 6600202003250012
Дата опубликования: 25.03.2020
Страница №27 из 73:
Увеличить