Официальное опубликование правовых актов
ОФИЦИАЛЬНОЕ ОПУБЛИКОВАНИЕ
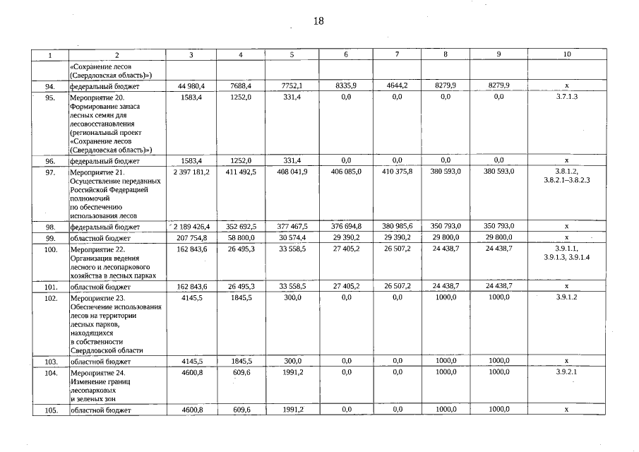
Постановление Правительства Свердловской области от 12.03.2020 № 136-ПП
"О внесении изменений в государственную программу Свердловской области "Обеспечение рационального, безопасного природопользования и развития лесного хозяйства на территории Свердловской области до 2024 года", утвержденную постановлением Правительства Свердловской области от 20.06.2019 № 375-ПП"
Номер опубликования: 6600202003170013
Дата опубликования: 17.03.2020
Страница №18 из 20:
Увеличить