Официальное опубликование правовых актов
ОФИЦИАЛЬНОЕ ОПУБЛИКОВАНИЕ
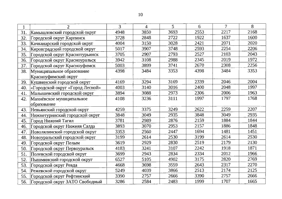
Постановление Правительства Свердловской области от 20.02.2020 № 88-ПП
"Об областном стандарте стоимости жилищно-коммунальных услуг на 2020 год"
Номер опубликования: 6600202002260011
Дата опубликования: 26.02.2020
Страница №10 из 17:
Увеличить