Официальное опубликование правовых актов
ОФИЦИАЛЬНОЕ ОПУБЛИКОВАНИЕ
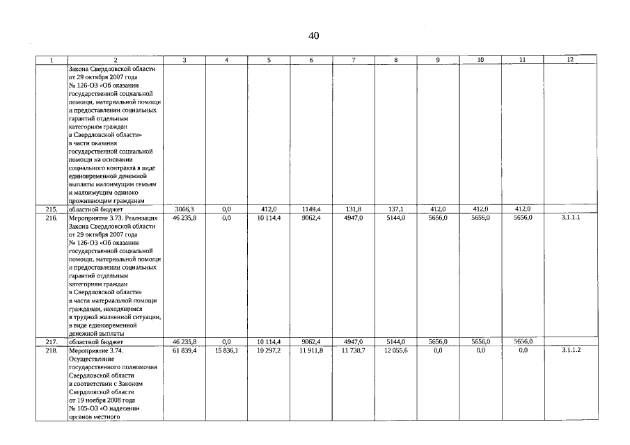
Постановление Правительства Свердловской области от 25.12.2019 № 984-ПП
"О внесении изменений в государственную программу Свердловской области "Социальная поддержка и социальное обслуживание населения Свердловской области до 2024 года", утвержденную постановлением Правительства Свердловской области от 05.07.2017 № 480-ПП"
Номер опубликования: 6600201912270046
Дата опубликования: 27.12.2019
Страница №40 из 62:
Увеличить