Официальное опубликование правовых актов
ОФИЦИАЛЬНОЕ ОПУБЛИКОВАНИЕ
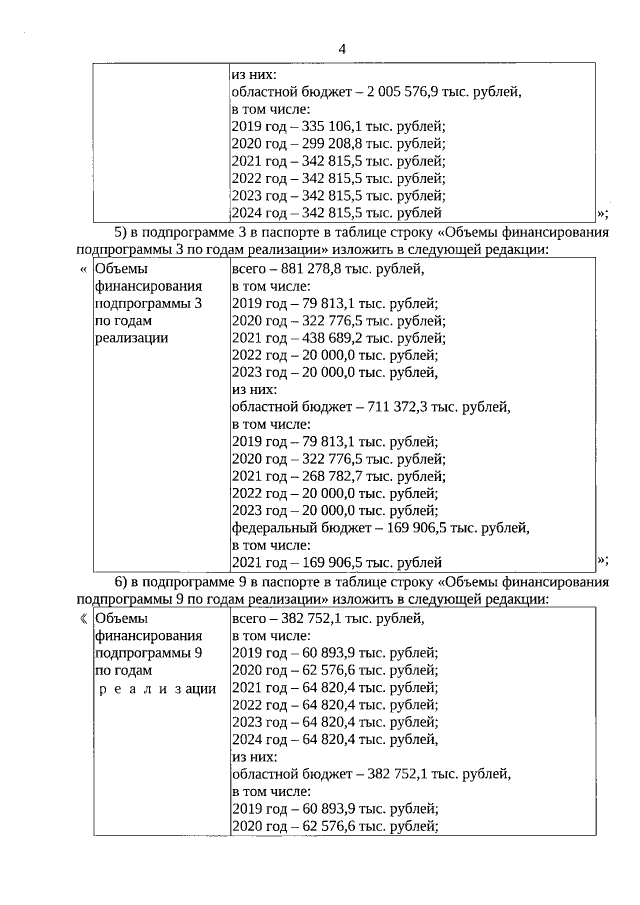
Постановление Правительства Свердловской области от 19.12.2019 № 921-ПП
"О внесении изменений в государственную программу Свердловской области "Развитие физической культуры и спорта в Свердловской области до 2024 года", утвержденную постановлением Правительства Свердловской области от 29.10.2013 № 1332-ПП"
Номер опубликования: 6600201912240038
Дата опубликования: 24.12.2019
Страница №4 из 21:
Увеличить