Официальное опубликование правовых актов
ОФИЦИАЛЬНОЕ ОПУБЛИКОВАНИЕ
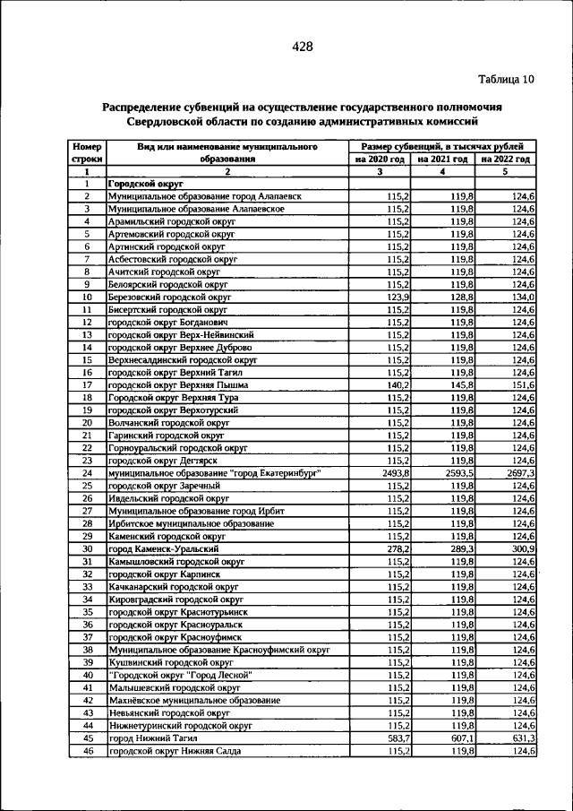
Закон Свердловской области от 12.12.2019 № 120-ОЗ
"Об областном бюджете на 2020 год и плановый период 2021 и 2022 годов"
Номер опубликования: 6600201912180005
Дата опубликования: 18.12.2019
Страница №428 из 449:
Увеличить